25 soal vektor(soal dan pembahasan)
1. Kelompok besaran di bawah ini yang termasuk besaran vektor adalah . . . .
a. kelajuan, kuat arus, gaya
b. energi, usaha, banyak mol zat
c. kecepatan, momentum, kuat arus listrik
d. tegangan, intensitas cahaya, gaya
e. gaya, percepatan, waktu
jawab: C
2. Besaran-besaran berikut yang dipengaruhi arahnya adalah ....
a. massa d. jarak
b. waktu e. kecepatan
c. usaha
jawab: E
3. Seseorang menarik meja ke arah barat dengan gaya 60 N. Jika 1 cm mewakili gaya 15 N, gambar vektor gaya tersebut yang benar adalah . .


jawab: C
4. Pada perlombaan tarik tambang, kelompok A menarik ke arah timur dengan gaya 700 N. Kelompok B menarik ke barat dengan gaya 665 N. Kelompok yang memenangi perlombaan adalah kelompok . . . .
a. A dengan resultan gaya 25 N
b. A dengan resultan gaya 35 N
c. B dengan resultan gaya 25 N
d. B dengan resultan gaya 35 N
e. B dengan resultan gaya 45 N
jawab: B
Perhatikan gambar vektor- vektor berikut untuk menjawab 3 soal berikut
jawab: D
jawab: C
8. Sebuah mobil bergerak dengan kecepatan 50 km/jam membentuk sudut 30° terhadap sumbu x positif. Besar komponen vektor kecepatan tersebut pada sumbu x dan sumbu y berturut-turut adalah . . . .
a. 25 km/jam dan 25 √2 km/jam
b. 25 km/jam dan 25 √3 km/jam
c. 25 √3 km/jam dan 25 km/jam
d. 25 √3 km/jam dan 25 √2 km/jam
e. 25 √3 km/jam dan 25 √3 km/jam
jawab: C
vx = v.cos θ = 50. ½ √3 = 25 √3
vy = v sin θ = 50 . ½ = 25
9. Dua buah gaya masing-masing 10 N dan15 N membentuk sudut 600. Besar resultan kedua gaya tersebut adalah . . . .
a. 21,8 N d. 20,7 N
b. 21,2 N e. 20,6 N
c. 20,8 N
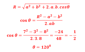
11. Dua vektor masing-masing 3 m dan 8 m dengan satu titik tangkap, ternyata besar resultannya sebesar 7 N. besar Sudut apit antara kedua vektor tersebut adalah … .
a. 30° d. 90°
b. 45° e. 120°
c. 60°
12. Jika sebuah vektor kecepatan v = 10 m/s diuraikan menjadi dua buah vektor yang saling tegak lurus dan salah satu vektor uraiannya membentuk sudut 60° dengan sumbu x, maka besar masing-masing vektor uraiannya berturut-turut pad sumbu x dan y adalah …
a. 5 m/s dan 5 √3 m/s d. 5 m/s dan 5 √6 m/s
b. 5 m/s dan 5 √2 m/s e. 10 m/s dan 1 m/s
c. 10 m/s dan 10 √3 m/s
jawab: A
vx = v.cos 60 = 10. ½ = 5
vy = v sin 60 = 50 . ½ √3 = 5 √3
Yang menyatakan adanya hubu-ngan x = y - z adalah gambar … .
a. (1) b. (2) c. (3) d. (4) e. (5)
jawab: E
14. Perahu saat digunakan diaair yang tenang mampu bergerak dengan kecepatan 1,2 m/s . Jika berada di sungai yang memiliki kecepatan arus air sebesar 0,5 m/s dan perahu bergerak searah arus sungai, maka resultan vektor kecepatan perahu sekarang sebesar ....
a. 0,6 m/s d. 1,7 m/s
b. 0,7 m/s e. 2,4 m/s
c. 1,3 m/s
jawab: D (R = 1,2+0,5 = 1,7 m/s)
15. Vektor a = 3 satuan, vektor b = 4 satuan dan a + b = 5 satuan, besar sudut yang diapit oleh vektor a dan b adalah ….
a. 90O d. 120 O
b. 45 O e. 180 O
c. 60 O
(EBTANAS, 1986)
Jawab: A
16. Seseorang ingin menyeberangi sungai deras dengan perahu yang mampu bergerak dengan kecepatan 2 m/s. Kecepatan arus sungai 1,2 m/s. Supaya orang tersebut dapat menyeberang sungai secara tegak lurus arus sungai maka perahunya harus diarahkan dengan sudut α terhadap arus sungai. Besar α adalah ....
a. 37O d. 127 O
b. 53 O e. 143 O
c. 90 O
sin α = s/p = 1,2/2 = 0,6
α = 37
θ = 90 + α
θ = 127
17. Sebuah balok ditarik tiga gaya seperti pada gambar. Resultan gaya yang bekerja pada balok sebesar ....


a. 2 N
b. 6 N
c. 10 N
d. 14 N
e. 22 N
jawab: C (triple phytagoras)
18. Dua buah gaya sama besar yaitu 10 N membentuk sudut 120O satu sama lain. Selisih kedua vektor tersebut adalah....
a. 0 N d. 10√3 N
b. 10 N e. 20 N
c. 10√2 N
jawab: B
Jawab: C
a. 15 N dan 15√3 N
b. 15√3 N dan 15 N
c. 15√2 N dan 15√2 N
d. 30 N dan 30√3 N
e. 30√3 N dan 30 N
jawab: B
Fx = F.cos 30 = 30. ½ √3 = 15 √3
Fy = F sin 30 = 30 . ½ √ = 15
21.
Sebuah balok cukup berat berada di atas lantai mendatar licin ditarik gaya seperti pada gambar. tg 37O = 0,75. Komponengaya yang searah gerak benda tersebut adalah ....
Sebuah balok cukup berat berada di atas lantai mendatar licin ditarik gaya seperti pada gambar. tg 37O = 0,75. Komponen
a. 50√3 N
b. 80 N
c. 75 N
d. 60 N
e. 50 N
jawab; B
fx = f. cosθ = 100.0,8 = 80 N
22. Perhatikan vektor-vektor yang besar dan arahnya terlukis pada kertas berpetak seperti gambar di samping. Jika panjang satu petak adalah dua newton (N), maka besar resultan kedua vektor adalah ....
a. 16 N d. 22 N
b. 18 N e. 24 N
c. 20 N
jawab: C
fx = 6+2 = 8.2 = 16
fy = 6.2 = 12
R = 20 (triple phytagoras)
a. 4,0 N
b. 4√3 N
c. 6,0 N
d. 6 √3 N
e. 8 N
24. Dua vektor a dan b memiliki nilai titik tangkap yang sama dan nilai yang sama pula. Jika sudut apit antara kedua vektor adalah β , maka berlaku hubungan:|a+b|=2|a-b|.maka cos β adalah ....
(A) ½
(B) 1/3
(C) 1/6
(D) 1/4
(E) 1/5

Jika F 3 = 100 newton, maka F 1 dan F 2 berturut-turut adalah ....
(A) 60 newton dan 80 newton
(B) 100√3 newton dan 200/√3 newton
(C) 50 newton dan 50 newton
(D) 150 newton dan 150 newton
(E) 150 newton dan 50 newton
SMT 2
Seorang anak bermain mobil-mobilan bermasa 12 kg yang bergerak dengan kecepatan 5 m/s momentum & energi kinetik yang dimiliki mobil-mobilan tersebut adalah…
Jawab : P = M . V =12 × 5 = ᵏᵍ/s
EK = ⅟₂ . 12 . 52 = 150 J
2. Gambar di bawah ini menujukan grafik (s-t) dari gerak sebuah benda yang massanya 6 kg. Momentum benda tersebut adalah...kgm/s
V= s/t = 4/1 = 4m/s
P= m.v
= 6.4 =24kg.m/s
3. Seorang anak memukul bola tenis yang massanya 100gr dengan gaya 10N dengan ssebuah pemukul . Bola menempel pada pemukul selama 0,2 sekon. Kecepatan bola waktu lepas dari pemukul adalah...
m.ΔV = F. Δt
0,1. ΔV = 10.0,2
ΔV= 2.10
ΔV=20 m/s
4. Sebuah benda mengalami perubahan momentum sebesar 3 kgm/s dalam waktu 0,05 sekon. Besar gaya yang mengakibatkan perubahan tersebut adalah ….. N
Diket: P=3kg ditanya F? ΔF = F. ΔT
t = 0,05 s 3 = F.0,05
60N = F
5. Sebuahbenda jatuh bebeas dari ketinggian 10m di ata lantai. Jika koefisien restitusi antara bola dengan lantai 0,5 , maka tinggi pantulan pertama adalah ...
6.Sebuah bola menumbuk tegak lurus sebuah tembok dengan kecepatan 8 m/s. Jika koefisien tumbukan yang dialami bola dengan tembok adalah 0,5, maka kelajuan bola setelah memantul adalah...
7.Bola bergerak jatuh bebas dari ketinggian 1 m dari lantai. Jika koefisien restitusi 0,5 maka tinggi bola setelah tumbukan pertama adalah......
8.Seorang anak melompat lepas dari skate board yang dinaikinya dengan kecepatab im/det. Bila massa anaknya 20 kg dan massa skate board 2 kg maka besar kecepatan hentakan papa adalah...
V1=V2 = 1m/s , m1=20kg , m2=2kg , v1= 0→v2=?
M1 . v1 + m2 . v2 = m1 . v1’ + m2 . v2’
20 . 1 + 2 . 1 = 20 . 0 = 2 . V2’
22 = 0 + 2v2’
11 = v2’
9. Sebutir peluru massanya 25 gr ditembakan dengan kecepatan 200 m/det. Peluru menembus kayu sedalam 20 cm, maka gaya rata-rata untuk menghentikan peluru adalah ...
# Vt2= v02 + 2as
02 = 2002 + 2 . a . (o,2)
0,4a = 400
a = -100 000 m/s
# F = m.a
=(0,025kg)(100 000m/s)
=2500 N
10. Sebuah benda yang massanya 2 ton melaju dengan kecepatan 36 km/jam ,menabrak sebuah pohon dan berhenti dalam selang waktu 0,1 detik . gaya rata-rata pada truk selama berlangsungnya tabrakan adalah…..
Diket: m= 2000 kg Ditanya: F?
V=36 km/jam =10 m/s Jawab: F.t=m.v
t = 0.1 s F.0,1=2000.10
F=200.000 N
11. Dua buah benda A dan B bermassa sama. Kecepatan awal benda A 5 m/s kekanan dengan percepatan tetap, setelah 2 detik dan menempuh 14 meter benda A bertumbukan dengan benda B. jika sebelum tumbukan benda B bergerak ke kiri dengan kelajuan 15 m/s. Setelah tumbukan A dan B menempel dan bergerak bersama, maka besar kecepatan kedua benda setelah tumbukan adalah....
Jawab :
S = vo.t + ½ . a. t2
14 = 5.2 + ½ . a. 4
a = 2 m/s2
Vt 2 = vo2 + 2as
Vt2 = 52 + 2.2.14
Vt = 9
m1.v1 + m2.v2 = (m1+m2)v’
9m+15m = 2m.v’
V’ = 12 m/s
13. Sebuah balok 2 kg meluncur ke kanan dengan kecepatan 10 m/s sepanjang meja yang licin dan menumbuk sebuah balok lain ber massa 8 kg yang mula-mula diam. Bila arah ke kanan diambil positif dan tumbukanny adalah elastis sempurna maka kecepatanya masing-masingnya balok 2kg dan 8 kg adalah...
M1 . v1 + m2 . v2 = m1 . v1’ + m2 . v2’
2.10 + 0 = 2.v1’ + 8.v2’
20 = 2v1’ + 8v2’ ...........(persamaan 1)
Lenting sempurna e = 1
-v1’ + v2’ = 10 ............... (persamaan 2)
Eliminasi pers.1 dan 2
V1’ = -6 m/s
V2’ = 4 m/s
14. sebuah bom yang diam meledak dan menjadi dua pecahan yang bergerak berlawanan. masa pecahan ke 2 bmemiliki massa dua kali lipat dari massa pecahan pertama. Jika besar energi yang di hilang menjadi ledakan (kalor/panas) adalah 300 kilo joule, maka perbandingan energi kinetik bagian pertama dan kedua adalah...
15.seorang polisi menembak peluru dengan massa 4 gr ke sebuah balok kayu bermassa 5 kg peluru mengenai balok dan bersarang di dalamnya. Kecepatana peluru ketika mengenai balok 300m/s. Kecepatan sistem sekarang adalah...


























0 comments:
Post a Comment